|
无障碍
|
微信
|
手机客户端App
|
登录/注册
用户中心
长者模式
关闭长者模式
网站首页
要闻动态
魅力土右
政府信息公开
互动交流
政务服务
智能搜索
当前位置:
首页
>
政府信息公开
>
法定主动公开内容
>
农机购置补贴信息公开专栏
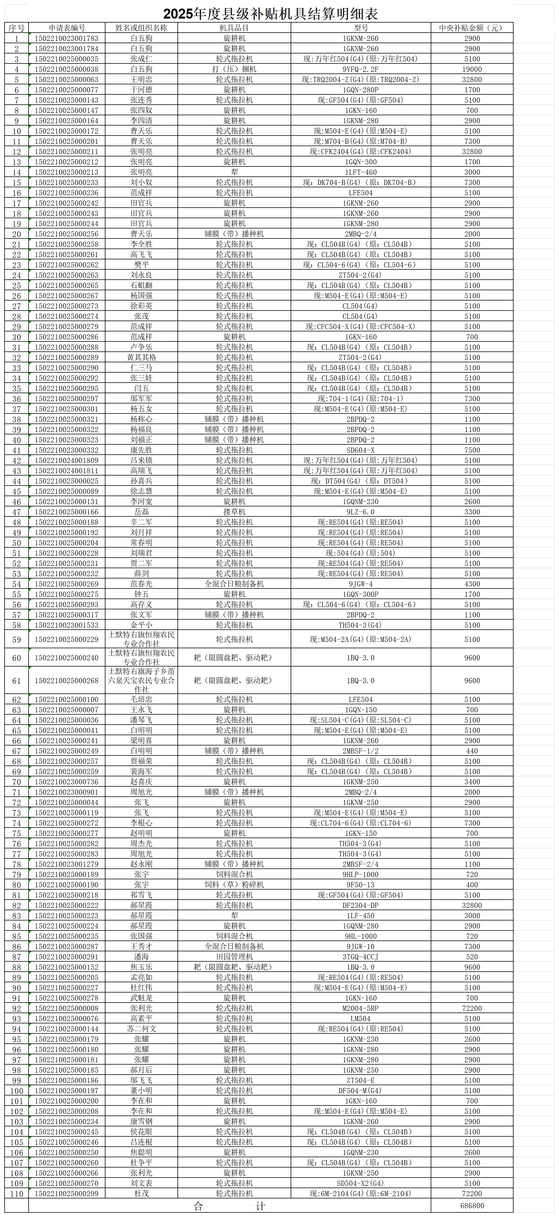
2025年土右旗第三批农机购置补贴机具购机者明细表
发文时间: 2025-07-09
资料来源: 包头市土默特右旗人民政府
2025年土右旗第三批农机购置补贴机具购机者明细表.xlsx
字体
大
中
小
打印
关闭
分享到: